服務熱線
0374-8622418
400-002-2226
行業從業經驗
34年已獲得的國家專利
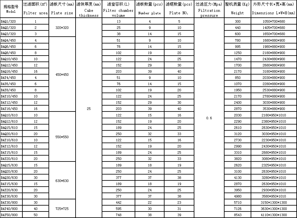
36項目前已有的產品型號
200多個目前生產設備
3000套
1. 不銹鋼壓濾機采用優質不銹鋼材料制造,抗腐蝕,經久耐用,濾板采用螺紋狀結構,可根據用戶不同產品更換不同濾材(濾材可用微孔濾膜、濾紙、濾布、澄清板等),密封圈采用硅膠和氟橡膠(耐酸耐堿)兩種,無滲漏、密封性能好。
2. 板框過濾器配上微孔濾膜是目前解決化工、制藥食品等行業過濾活性炭、微粒等較好設備,保證100%不流碳,流量大,拆裝方便。
3. 同時生產一機多用板框過濾器(二級過濾),一次進液體,達到初液半精濾,精濾(也可存在多種孔徑濾材,解決不同要求的優點)。
4. 濾器使用前用注射水消毒,將濾材用蒸餾水浸濕后貼在網板上,再壓緊預板,啟動前先把泵內液體加滿,然后啟動,并排出空氣,停機時先關閉進液閘再關機,防止突然停機液體倒流壞濾材。
5. 本機泵及輸入部件均采用快裝連接,拆卸清洗方便。